§2 Basic calculations in analytic geometry
|
graphics |
Calculation formula |
|
[ distance between two points ]
|
on flat surface in space
|
|
[ The dividing line segment is the dividing point coordinates of the fixed ratio ]
M ( x , y , z ) is the division point of A 1 A 2 , the division ratio |
on flat surface
in space λ > 0 is called inner division and outer division . When λ = 1 , M is the midpoint of A 1 A 2 :
|
|
graphics |
Calculation formula |
|
[ Area of a triangle on a plane ]
|
S △ = When S △ =0 , the three points of A 1 , A 2 , and A 3 are collinear |
|
[ Area of a polygon on a plane ]
A 1 , A 2 , … , An form a counterclockwise loop |
S = When S = 0 , A 1 , A 2 , … , A n n points are collinear
|
|
[ volume of a tetrahedron in space ]
right -handed system |
V = = When V = 0 , the four points M , A 1 , A 2 , and A 3 are coplanar
|
|
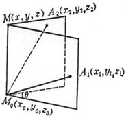
[ Angle of the dihedral ]
M 0 , M 1 , A 1 , A 2 are four non-coplanar points in space, q is the dihedral angle A 1 - M 0 M 1 - A 2 (0 £ q £ 180 ° )
|
When M 0 is the origin, the positive direction of the x -axis, and the positive direction of the y -axis, then
When M 0 is the origin and the positive direction of the x -axis, then
|
|
graphics |
Calculation formula |
|
[ Barycentric coordinates of mass point system ]
|
The coordinates of the center of gravity G are
where ∑ represents the sum of i from 1 to n |