§2 级数的收敛与运算

一、数项级数收敛的判别法

1.基本概念与基本性质

[级数的基本概念] ,,是一个无穷序列,符号

称为无穷级数,简称级数,记作.an称为级数的一般项.

An= a1+a2+ (n=1,)

称为级数的第n个部分和.若当n∞时,部分和序列{An}具有有穷或无穷(但有确定的正号或负号的)极限A

A=An=

则称A为级数的和,并写成

A= a1+a2+

若级数具有有穷和,则称级数为收敛的,否则,即级数和等于±∞,或不存在,则称级数为发散的.

[级数的基本性质]

(1) 弃去级数前面的有限项或在级数前面加进有限项,并不影响级数的收敛与发散的性质.

(2) 若级数收敛,则它的第m项后的余项的和数

am=am+1+am+2+

m∞时趋于零.

(3) 若级数收敛,c是任一常数,则级数也收敛,并有

=c

(4) 都收敛,则也收敛,并有

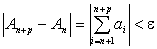
[柯西准则] 级数收敛的充分必要条件是:对任意的ε>0,都存在正整数N=N(ε),使得当nN时,对一切正整数p,下列不等式成立:

[级数收敛的必要条件] 级数收敛的一个必要条件是:一般项an趋于零,即an=0.