二、相关系数的计算及假设检验《医学统计学》

二、相关系数的计算及假设检验

(一)相关系数计算法

计算相关系数的基本公式为:

计算相关系数的基本公式

(9.1)

式(9.1)中r为相关系数,∑(X-X)2为X的离均差平方和,∑(Y-Y)2为Y的离均差平方和,∑(X-X)(Y-Y)为X与Y的离均差乘积之和,简称离均差积之和,此值可正可负。以此式为基础计算相关系数的方法称积差法,在实际应用时式(9.1)中各离均差平方和(简称差方和)与积之和可化为

(9.2)

现举例说明计算相关系数的一般步骤:

例9.1 测定15名健康成人血液的一般凝血酶浓度(单位/毫升)及血液的凝固时间(秒),测定结果记录于表9.1第(2)、(3)栏,问血凝时间与凝血酶浓度间有无相关?

1.绘图,将表9.1第(2)、(3)栏各对数据绘成散点图,见图9.9。

2.求出∑X、∑Y、∑X2、∑Y2、∑XY,见表9.1下方。

3,代入公式,求出r值。

凝血时间与凝血酶浓度散点图及回归直线

图9.9 凝血时间与凝血酶浓度散点图及回归直线

表9.1 相关系数计算表

受试者号
(1)
凝血酶浓度(单位/毫升)
X
(2)
凝血时间(秒)
Y
(3)
11.114
21.213
31.015
40.915
51.213
61.114
70.916
80.915
91.014
100.916
111.115
120.916
131.114
141.015
150.817
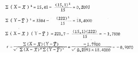
合计15.1222

∑X=15.1 ∑Y=222
      ∑XY=221.7 
∑X2=15.41∑Y2=3304   

本例的相关系数r=-0.9070,负值表示血凝时间随凝血酶浓度的增高而缩短;绝对值∣-0.9070∣表示这一关系的密切程度。至于此相关系数是否显著,则要经过下面的分析。

(二)相关系数的假设检验

虽然样本相关系数r可作为总体相关系数ρ的估计值,但从相关系数ρ=0的总体中抽出的样本,计算其相关系数r,因为有抽样误差,故不一定是0,要判断不等于0的r值是来自ρ=0的总体还是来自ρ≠0的总体,必须进行显著性检验。检验假设是ρ=0,r与0的差别是否显著要按该样本来自ρ=0的总体概率而定。如果从相关系数ρ=0的总体中取得某r值的概率P>0.05,我们就接受假设,认为此r值的很可能是从此总体中取得的。因此判断两变量间无显著关系;如果取得r值的概率P≤0.05或P≤0.01,我们就在α=0.05或α=0.01水准上拒绝检验假设,认为该r值不是来自ρ=0的总体,而是来自ρ≠0的另一个总体,因此就判断两变量间有显著关系。

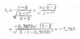
由于来自ρ-0的总体的所有样本相关系数呈对称分布,故r的显著性可用t检验来进行。本例r=-0.9070,进行t检验的步骤为:

1.建立检验假设,H0:ρ=0,H1:ρ≠0,α=0.01

2.计算相关系数的r的t值:

(9.3)

3.查t值表作结论

ν=n-2=15-2=13

根据专业知识知道凝血酶浓度与凝血时间之间不会呈正相关,故宜用单侧界限,查t值表得

t0.01,13=2.650

今∣tr∣>t0.01,13,P<0.01,在α=0.01水准上拒绝H0,接受H1,故可认为凝血时间的长短与血液中酶浓度有负相关。

为简化tr检验的计算过程,数理统计工作者根据t分配表,已把不同自由度时r的临界值求出,并列成相关系数界值表(见附表11)。故求相关系数后,只需查表就可知道该r值是否显著,而不必再计算tr值。

r的显著性界限为

|r|<R0.05,ν P>0.05 相关不显著

r0.05,,≤|r|<r0.01,, 0.05≥P>0.01

在α=0.05水准上相关显著

|r|≥r0.01,, P≤0.01 在α=0.01水准上相关显著

例9.1的ν =15-2=13,查附表11中P(1)的界值,得:

r0.05,13=0.441r0.01,13=0.592

现r=-0.9070,∣r∣>r0.01,13,P<0.01,按α=0.01水准,拒绝HO,接受H1。认为ρ≠0,说明凝血时间的长短与血液中凝血酶浓度有负相关。结论与计算所得一致。

相关系数的显著性与自由度的大小有关,如n=3,ν=1时,虽r=-0.9070,却为不显著;若ν=400时,即使r=0.1000,亦为显著。因此不能只看r的值,不考虑ν就下结论。

上一页:一、相关系数的意义
当前页:二、相关系数的计算及假设检验
下一页:一、直线回归方程的意义