一、两个率的比较《医学统计学》

一、两个率的比较

(一)X2检验的基本公式 下页末行的例3.1是两组心肌梗塞病人病死率的比较,见表3.5,其中对照组未用抗凝药。两组病人的病死率不同,抗凝药组为25.33%,对照组为40.8%。造成这种不同的原因可能有两种:一种是仅由抽样误差所致;另一种是两个总体病死率确实有所不同。为了区别这两种情况,应当进行X2检验。其基本步骤如下:

1.首先将资料写成四格表形式,如表3.6。

将每个组的治疗人数分为死亡与生存两部分,各占四格表中的一格,这些数字称为实际频数,符号为A,即实际观察得来的数字。

2.建立检验假设 为了进行检验,首先作检验假设:两种疗法的两总体病死率相等,为35%(即70/200),记为H0:π12。即不论用或不用抗凝药,病死率都是35%,所以亦可以换一种说法:病死率与疗法无关。

上述假设经过下面步骤的检验后,可以被接受也可以被拒绝。当H0被拒绝时,就意味着接受其对立假设即备择假设H1。此例备择假设为两总体病死率不相等,记为H1:π1≠π2

因为我们观察的是随机现象,所以无论是接受或拒绝H0都冒有一定风险,即存在着错判的可能性。一般要求,当错误地被拒绝的概率α不超过一定的数值,如5%(或0.05),此值称为检验水准,记为α=0.05。

3.计算理论频数 根据“检验假设”推算出来的频数称理论频数,符号为T。计算方法如下:假设两总体病死率相同,都是35.0%,那么抗凝血组治疗75人,其死亡的理论频数应为75×35.0%=26.25人,而生存的理论频数为75-26.25=48.75人。用同样方法可求出对照组的死亡与生存的理论频数,前者为43.75人。后者为81.25人。 然后,把这些理论频数填入相应的实际频数格内,见表3.6括号内数字。

计算理论频数也可用下式(3.4)

TRC=nRnC/N(3.4)

式中,TRC为R行与C列相交格子的理论频数,nR为与计算的理论频数同行的合计数,nC为与该理论频数同列的合计数,N为总例数。

例如;表3.6第一行与第一列相交格子的理论频数(T1)为

T1 75×70/200=26.25

用两种方法计算,结果是相同的。

4.计算χ2值,计算χ2值的基本公式为:

X2=∑(A-T)2/t (3.5)

式中,A为实际频数,T为理论频数,∑为求和符号。

将表3.6里的实际频数与理论频数代入式(3.5)即求得χ2值。此例χ2=4.929。

从式3.5中可看出,实际频数与理论频数之差(A-T)愈小,所得的χ2值就愈小,理论频数是根据检验假设推算出来的,若与实际频数相差不大,说明假设与实际情况符合,于是就接受H0,认为两病死率无显著差别;反之,若(A-T)大,则χ2值亦大,说明假设与实际不符,就拒绝假设,认为两病死率有差别。但χ2值大还是小,要有一个比较的标准,要查χ2值表(附表1),查χ2值表前先要定自由度。

5.求自由度 自由度是数学上的一个名词。在统计中,几个数据不受任何条件(如统计量,即样本特征数)的限制,几个数据就可以任意指定,称为有几个自由度。若受到P个条件限制,就只有n-p个自由度了。例如在四格表中有四个实际频数,如没有任何条件限制,则4个数字都可任意取值,有4个自由度,当a+b,,c+d,a+c,b+d都固定后,在a、b、c、d四个实际频数中,只能有一个频数可任意指定了,因此,四格表的自由度为1。其计算公式为:

ν=(R-1)(C-1) (3.6)

式中,ν为自由度,R为横行数,C为纵列数。

四格表有2行和2列(注意:总计与合计栏不算在内)。因此ν=(2-1)(2-1)=1。

6.求P值,作结论 根据自由度查χ2值表(附表1)。此表的左侧ν为自由度,表内数字χ2值,表的上端P是从同一总体中抽得此样本χ2值的概率。三者关系是:在同一自由度下,χ2值越大,从同一总体中抽得此样本的概率P值越小;在同一P值下,自由度越大,χ2值也越大。χ2值与概率P呈相反的关系。χ2检验的常用界值为:

χ220.05()P>0.05 在α=0.05水准处接受H0,差别不显著

χ20.05≤χ220.01()0.05≥P>0.01在α=0.05水准处拒绝HO,接受H1,差别显著

χ2≥χ20.01()P≤0.01 在α=0.01水准处拒绝HO,接受H1,差别显著

这里α是预定的检验水准。χ20.05()是当自由度为ν时与P=0.05相对应的χ2值,简称5%点,χ20.01()是与P=0.01相对应的χ2 值,简称1%点。

当ν=1时,χ20.05(1)3.84,χ20.01(1)=6.63。本例自由度为1,求得χ2=4.929,介于3.84与6.63之间,或写成χ20.05(1)220.01(1)。由于与3.84对应的纵行P=0.05,与6.63对应的纵行P=0.01,因此与样本χ2=4.929相应的概率介于0.05与0.01之间,写成0.05>P>0.01。在α=0.05水准处拒绝H0,接受H1,两总体率不等。对照组的病死率较抗凝血组高。

在α=0.05水准处拒绝H0,说明若在同样情况下作100次判断,将有5次或不到5次的机会,将原没有差别的两总体率错判为有差别,或说这样判断犯I型错误的概率不超过5%。

下面将实例的检验步骤集中列出。

例3.1 两组心肌梗塞病人的病死率可见于表3.5,其中对照组未用抗凝药。抗凝血组病死率为25.33%,对照组为40.80%,问两组病死率有无显著差别?

表3.5 两组心肌梗塞病人病死率比较

组别治疗人数死亡人数病死率(%)
抗凝血组751925.33
对 照 组1255140.80
总 计2007035.00

检验步骤如下:

1.将资料列成四格表形式,如表3.6。

表3.6 四格表式样

 死亡生存合计
抗凝血组19(26.25)56(48.75)75
对照组51(43.75)74(81.25)125
总 计70130200

2.H0:两疗法的总体病死率相同,即π1=π2

H1:两疗法的总体病死率不同,即π1π2

α=0.05

3.求理论频数

抗凝血组:

死亡人数为75×35.0%=26.25人

存活人数为75-26.25=48.75人

对照组:

死亡人数为125×35.0%=43.75人

存活人数为125-43.75=81.25人

把理论频数填入相对应的实际频数格内,见表3.6括号内数字。

4.求χ2值 将表3.6里的数值代入式(3.5)得,

5.求自由度,确定P值,作结论

ν=(2-1)(2-1)=1,χ2 0.05(1)=3.84,χ2 0.01(1)=6.63,

本例χ2=4.929,χ2 0.05(1)22 0.01(1),则0.05>P>0.01,在α=0.05水准处拒绝H0,接受H1,即两总体病死率不等,对照组病死率较抗凝血组高。

上例告诉我们,两个样本病死率一大一小,在未作检验之前,很难说它们两总体率是否有差别,为了作出正确判断,作X2检验。先假设两总体病死率相同,推算理论频数,由实际频数与理论频数计算χ2值,二者相差越大,χ2值也越大。本例得χ2=4.929,根据自由度为1时的χ2分布推断,从同一总体内抽样,出现χ2值等于或大于4.929的概率较小,每一百次中在5次以下,1次以上,因此检验假设被拒绝,而判断为有显著差别。

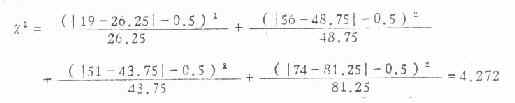
(二)连续性校正公式 χ2检验是以连续的光滑曲线做根据的,当自由度为1时,χ2检验所得的概率容易偏低,因些需要校正,校正后的χ2值比不校正的小一些,校正公式是:

(3.7)

公式中A-T前后两条直线是绝对值的符号。

将表3.5资料代入式(3.7)得:

检验两个率相差的显著性时(此时自由度为1),理论上都可用校正公式。但当用公式(3.5)求出的χ2值小于3.84时,相应的P值大于0.05,表示两个率相差不显著,校正后χ2值更小,仍得同样结构,就无须校正;当用未校正公式求出的χ2值远远超过3.84时,校正后的结论仍相同,在此种情况下也可不校正;当自由度为2及以上时,则不必校正。

当用公式(3.5)求出的χ2值略大于3.84时,校正最为必要,往往会改变原来的结论,举例如下。

例3.2表3.7是六六六粉的两种配方进行野外烟剂灭黄鼠实验的观察结果。

表3.7 六六六粉两种配方灭黄鼠的效果

烟薰后鼠洞情况合 计(实验观察洞数)灭洞率(%)
未盗开盗 开
04号配方13(16.63)9(5.37)2259.1
05号配方80(76.37)21(24.63)10179.2
总 计933012375.6

现用公式(3.5)及式(3.6)分别计算χ2值如下:

校正后的χ2值小于3.84,P>0.05,在α=0.05的水准处接受H0,认为两种配方灭黄鼠效果无显著差异,这相结论是比较合理的,如果不经校正就会得出错误的结论。

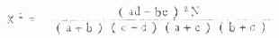
(三)四格表中求χ2的专用公式 用上述基本公式(3.5)求χ2值,需要求出与实际频数一一对应的理论频数,运算较繁。在四格表中,用下列专用公式较为简便。

(3.8)

式中a、b、c、d为四格表中的实际频数,N表示总例数(即N=a+b+c+d)。

现仍以表3.5资料为例,先写成四格表形式,如表3.8。

表3.8 四格表求χ2值专用公式的符号

 死 亡生存合 计
抗凝血组19(a)56(b)75(a+b)
对照组51(c)74(d)125(c+d)
 70(a+c)130(b+d)200(N)

将实际频数代入式(3.8)得,

这里用专用公式求得的χ2值与前面用基本公式求得的结果完全不同,有时这两个公式求得的结果小数点后几位可能稍有出入,这是由于受小数四舍五入的影响。

前面已介绍了连续性校正公式(3.7),为使运算更为简便,下面列出专用公式的连续性校正公式(3.9),并以表3.8资料代入计算如下:

(3.9)

所得结果与式(3.7)求得的一致。

上一页:第一节 X2检验
当前页:一、两个率的比较
下一页:二、多个率或多个构成比的比较