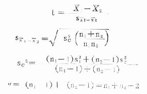
(二)t检验 可用于两样本含量n1、n2较小时,且要求两总体方差相等,即方差齐(homoscedasticity)。若被检验的两样本方差相差较大且差别有统计学意义则需用t'检验。《预防医学》

(二)t检验 可用于两样本含量n1、n2较小时,且要求两总体方差相等,即方差齐(homoscedasticity)。若被检验的两样本方差相差较大且差别有统计学意义则需用t'检验。

公式(19.10)

公式(19.11)

公式(19.12)

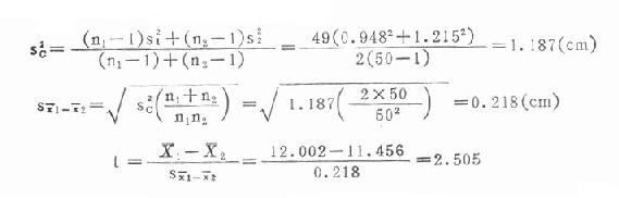
式中sx1-x2,为两样本均数之差的标准误,s2c为合并估计方差(combined estimate variance)。算得的统计量为t,按表19-4所示关系作出判断。

例19.7某医生统广西瑶族和侗族正常妇女骨盆X线测量资料各50例。骨盆入口前后径:瑶族的均数为12.002(cm),标准差0.948(cm),侗族相应的为11.456(cm)和1.215(cm)。问两族妇女的骨盆入口前后径是否有差别?

H0: μ1=μ2

H1: μ1≠μ2

α=0.05

已知n1=n2=50,x1=12.002(cm),s1=0.948(cm);

x2=11.456(cm),s2=1.215(cm).

本例自由度v=n1+n2-2=98,查t界值表[表内自由度一栏无98,可用内插法(从略)或用v =100估计]。T0.05(100)=1.948,t0.01(100)=2.626,今t=2.505>t0.05(1000,P<0.05,按α=0.05检验水准拒绝H0,接受H1,可认为广西瑶族和侗族妇女骨盆入口前后径不同,前者大于后者。

上一页:(一)u检验 可用于两样本含量n1、n2、均足够大时,如均大于50或100。
当前页:(二)t检验 可用于两样本含量n1、n2较小时,且要求两总体方差相等,即方差齐(homoscedasticity)。若被检验的两样本方差相差较大且差别有统计学意义则需用t'检验。
下一页:四、完全随机设计的两样本几何均数比较

返回目录